近期,我院张文献教授课题组与清华大学尤力教授合作,从理论上提出了单轴动力学解耦方法,并通过数值模拟(在半导体量子点和旋量玻色-爱因斯坦凝聚体中)论证了该方法的可行性。该工作以 “Uniaxial Dynamical Decoupling for an Open Quantum System” 为题发表在《物理评论快报》(Physical Review Letters)上。论文第一署名单位是FB体育平台官方网站,第一作者和第二作者分别是我院2015级硕士生姚琪和2016级博士生张军,张文献教授为通讯作者。
在开放系统中,量子体系与环境的耦合会导致系统退相干,对量子门操作、量子信息处理以及量子高精密测量带来负面影响。传统实验通常使用双轴动力学解耦技术抑制环境噪声,被广泛应用于量子寄存器和量子门操作等量子计算机科学。为了保持相干性,本工作提出了单轴动力学解耦的新方法,只需施加单轴的脉冲序列,在满足魔幻条件下,能够延长体系的相干时间2个数量级以上;通过对称化、嵌套等手段,有望进一步提高解耦效果,提高其鲁棒性。


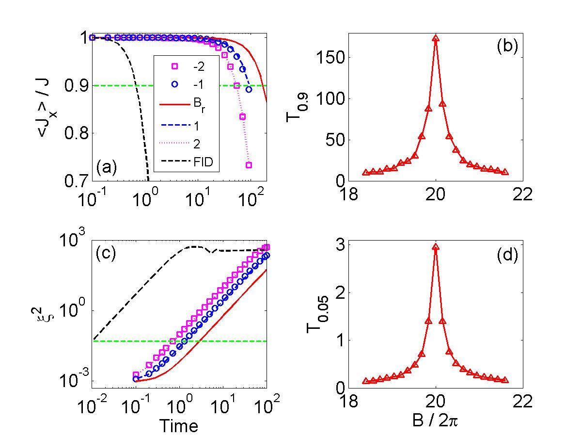
上左图展示单轴动力学解耦的基本过程:(Ⅰ)选定任意初态的量子比特(绿色箭头所示),绕Z轴(外加磁场方向)旋转一周(蓝色圈,磁场大小与演化时间满足魔幻条件);(Ⅱ)利用脉冲使量子比特绕Y轴旋转180度;(Ⅲ)绕Z轴旋转一周(魔幻条件);(Ⅳ)重复步骤(Ⅱ),实现初态的高保真存储。上右图展示抑制经典噪声的效果(旋量玻色-爱因斯坦凝聚体),初态分别是相干态(图a和图b)和压缩态(图c和图d)。

上图展示在半导体量子点中抑制量子环境噪声。结果显示单轴动力学解耦技术比通常的双轴PDD解耦技术和自旋回波技术效果更好。
与传统的双轴技术相比,单轴动力学解耦技术一方面在实验操作上更简单且脉冲数目更少,避免了额外的操作误差;另一方面在解耦效果上也优于标准的双轴解耦方案(PDD)。该单轴动力学解耦技术可适用于诸多量子体系 (半导体量子点、金刚石NV色心、核磁体系、超导量子线路、离子阱、旋量玻色-爱因斯坦凝聚体),有望在量子精密测量、量子计算机和量子信息处理等领域得到实际应用。
该工作得到了国家自然科学基金和科技部基金的支持。
附论文链接:
https://journals.aps.org/prl/abstract/10.1103/PhysRevLett.122.010408